Abstracts Publicaciones 2021
Quiénes somos
Instrucciones a autores
Responsabilidad autoría
Contacto
Portal Revistas U. de Chile
Brechas de consultas en especialidades gástricas del Servicio de Salud Metropolitano Norte y oportunidades de la integración del Hospital Clínico Universidad de Chile a la red pública
RESUMEN
Introducción: El Hospital Clínico Universidad de Chile (HCUCH) está avanzando en su articulación con la red pública de salud, la cual enfrenta una alta carga asistencial, particularmente por patologías gástricas de especialidad. ¿Cuánto puede aportar para cerrar las brechas en atención ambulatoria? Métodos: Se proyectaron las brechas entre demanda y oferta de consultas nuevas de especialidades de Gastroenterología y Coloproctología en los hospitales del Servicio de Salud Metropolitano Norte (SSMN) en 2023, utilizando datos de las Garantías Explícitas en Salud (GES), interconsultas no GES, listas de espera no GES, producción de consultas y programación médica. Se estimó la razón de demanda/oferta (r) de consultas nuevas de cada especialidad y se identificaron aquellas con r>1. Se caracterizó la dotación y actividades ambulatorias en Gastroenterología del HCUCH. Resultados: Las brechas en el SSMN fueron r=4,54 en Gastroenterología y r=1,66 en Coloproctología. Estas representaron 53,9%de los cupos presenciales del Servicio de Gastroenterología del HCUCH. Discusión: Con su rol docente y complejidad, el HCUCH tiene alto potencial para cerrar las brechas de consultas de especialidad por patologías gástricas del SSMN.
Palabras clave: listas de espera, necesidades y demandas de servicios de salud, planificación hospitalaria, atención ambulatoria, gastroenterología
SUMMARY
Introduction: Hospital Clínico Universidad de Chile (HCUCH) is making strides in its integration with the public health network, which faces a high demand in outpatient care, especially for gastric pathologies. To what extent can it contribute to closing the current gaps? Methods: We projected the gaps between the demand and supply of new specialty consultations for Gastroenterology and Coloproctology in hospitals within the Metropolitan North Health Service (SSMN) in 2023 using data from Explicit Health Guarantees (GES), non-GES referrals, waiting lists, consultation production and medical scheduling. We estimated the demand-to-supply ratio (r) of new consultations for each medical specialty and identified those with r>1. The staffing and ambulatory activities in the Gastroenterology Department at HCUCH were characterized. Results: Specialty consultation with gaps in the SSMN were r=4,54 in gastroenterology and r=1,66 in coloproctology. These gaps represented 53,9% of the in-person medical appointments in the Gastroenterology Department of HCUCH. Discussion: With its robust teaching capabilities and complex operations, the HCUCH is well-positioned to address the gastric specialty consultation shortages in the SSMN.
Keywords: waiting lists, needs and demands for health services, hospital planning, outpatient care, gastroenterology
Rev Hosp Clín Univ Chile 2026; 37: 5 - 17. DOI: 10.5354/2735-7996.2026.83730
René Lagos B., Marcos Batarce F.
La red pública enfrenta una alta carga asistencial con listas de espera que acarrean consecuencias para la salud de los pacientes. En junio de 2023 existían 1.849 personas con garantías retrasadas en cáncer gástrico y 60.402 solicitudes de interconsulta en espera por patologías gástricas no GES(1). Aparte del dolor físico, estrés psicológico y pérdida de productividad laboral que significa para muchas personas, en Gastroenterología los tiempos de espera prolongados están asociados con un mayor riesgo de muerte(2,3).
El Hospital Clínico Universidad de Chile (HCUCH) está avanzando para articularse de mejor forma con la red del Sistema Nacional de Servicios de Salud, mediante un proyecto de ley recientemente promulgado(4). El establecimiento se encuentra emplazado en el territorio del Servicio de Salud Metropolitano Norte (SSMN), el que atiende a una población de 747.443 personas inscritas en las comunas de Recoleta, Colina, Conchalí, Huechuraba, Independencia, Lampa, Quilicura y Tiltil(5). Es una zona donde existe la necesidad de monitorear y abordar aspectos de las condiciones de vida y acceso a la atención de salud de la población producto del envejecimiento, la migración y hacinamiento que enfrenta(6). En este contexto surge la pregunta de cuál es la capacidad del HCUCH para cerrar las brechas de atención de la población del territorio en que se emplaza, particularmente en la atención ambulatoria, que constituye la puerta de entrada a la atención hospitalaria desde la Atención Primaria de acuerdo al modelo de Redes Integradas de Servicios de Salud y al de Atención Integral en Salud con enfoque Familiar y Comunitario, que orientan la programación de la red pública(7,8). La hipótesis es que, como principal centro formador de especialistas médicos del país, el HCUCH tiene la capacidad suficiente para cerrar las brechas actuales en el SSMN.
Uno de los componentes más visibles y sensibles de la demanda de atención de salud son las listas de espera(9). Estas se generan cuando un médico determina que una persona requiere una atención médica de especialidad para resolver su problema de salud, para lo cual genera una solicitud de interconsulta (SIC). La resolución de la SIC parte por una consulta nueva de especialidad (CNE), que es la primera atención médica de especialidad en el nivel secundario para dar resolución al problema de salud. Las listas de espera de CNE están constituidas por las SIC que esperan su citación. Junto a las atenciones de Urgencia, las CNE son la principal vía de ingreso a la Atención Secundaria y Terciaria. De modo que, respondiendo oportunamente a la demanda de CNE, se pueden evitar que las personas entren a listas de espera, que eventualmente agraven sus condiciones de salud por no poder optar a la atención en el extrasistema por falta de recursos y que, finalmente, requieran una atención de urgencia o fallezcan. De ahí la importancia de cuantificar la demanda de CNE e identificar las brechas que darán origen o acrecentarán las listas de espera.
El presente estudio busca cuantificar las brechas de CNE de la red del SSMN en 2023 y compararlas con la cantidad de cupos que ofertó el HCUCH, usando como referencia dos especialidades médicas claves para el diagnóstico de enfermedades gástricas: Gastroenterología (GE) y Coloproctología (CP). A la luz de estos hallazgos se discuten las oportunidades y desafíos de la articulación del HCUCH con la red pública de salud.
MATERIAL Y MÉTODO
El estudio es descriptivo de carácter transversal, basado en el análisis cuantitativo de datos secundarios. Se utilizó el método para medir brechas de consultas de especialidad para estimar el cociente entre la demanda y la oferta de consultas de especialidad, aplicado en el SSMN en 2023(10). Este método se basa en teoría de colas y distingue entre la demanda por lista de espera al inicio del periodo (L) y las solicitudes de interconsulta recibidas durante el periodo (λ). Mientras que para la oferta de consultas distingue entre las consultas realizadas (μ) y las perdidas por inasistencia (nsp). Así, se define la razón de demanda-oferta para un periodo como r = (L+λ) / (μ+nsp), la cual se puede interpretar como el número de usuarios que necesitó una atención por cada consulta que se ofertó en el periodo. r>1 significa que la demanda fue mayor que la oferta por lo que constituye un indicador de la brecha relativa; mientras que r menor que 1 equivale a la utilización de la capacidad en ese periodo.
Para estimar la demanda se obtuvieron desde el Sistema de Gestión de Tiempos de Espera del Ministerio de Salud (SIGTE) datos de las solicitudes de interconsulta por patologías no GES enviadas durante 2022 a los hospitales del SSMN (λnoGES), provenientes, tanto del nivel primario como secundario de atención. Mientras que del Sistema de Información para la Gestión de Garantías en Salud (SIGGES) se obtuvieron las garantías en salud derivadas a los hospitales durante el mismo año. Se contemplaron sólo las garantías que consideran atención de especialidad para sospecha, diagnóstico y/o etapificación (λGES). No se consideraron las garantías de tratamiento y seguimiento bajo el supuesto de que las consultas de especialidad asociadas corresponden a controles y no, a consultas nuevas. De modo que la demanda total se estimó como la demanda de garantías GES y las solicitudes de interconsulta no GES: λGES+μnoGES. A esta demanda se sumaron los casos en lista de espera y garantías de oportunidad incumplidas al inicio de 2023 (LGES y LnoGES), los que se obtuvieron del Informe de Glosa 5 de la Ley de Presupuestos del cuarto trimestre de 2022.
La oferta (μSSMN) se obtuvo de la producción reportada por los hospitales del SSMN en 2023 en los Reportes Estadísticos Mensuales de especialidades médicas (REM A07) del DEIS. Debido a un cambio de formato del REM A07 en 2023 que excluyó las inasistencias, éstas se estimaron en base al porcentaje de inasistencias promedio entre 2019 y 2022 por centro. Además se obtuvo la producción programada para 2023, la cual estima la capacidad de producción anual de consultas(7). Esto se hace en cada establecimiento de salud, partiendo de la nómina de contratos institucionales de los profesionales clínicos. Para cada uno se desglosan las actividades clínicas y no clínicas que se realizan durante las horas semanales contratadas y los rendimientos asociados a cada actividad clínica, con lo cual se obtiene la producción anual estimada. Se consideró sólo la oferta de consultas nuevas de especialidad, que son las que resuelven las solicitudes de interconsulta.
Se estimó para cada especialidad la brecha absoluta de interconsultas Δ= (λGES+λnoGES + LGES y LnoGES) - (μSSMN + nspSSMN) y la razón r = (λGES+λnoGES + LGES y LnoGES) / (μSSMN + nspSSMN). Además, se compararon los parámetros de la programación médica con los indicadores de desempeño establecidos en las orientaciones técnicas del Ministerio de Salud: el porcentaje de consultas nuevas del total de consultas, los rendimientos de consultas nuevas por hora y el porcentaje de horas dedicadas a la atención ambulatoria(11).
Finalmente, se cuantificó la dotación, las prestaciones ofrecidas y la capacidad de producción de consultas y procedimientos del Servicio de Gastroenterología del HCUCH, aplicando la Ficha de Programación (Figura 1) y siguiendo las Orientaciones Técnicas de Programación en Red(7,11). Para comparar la brecha del SSMN con la capacidad del HCUCH, se estimó el cociente entre la brecha absoluta de consultas del SSMN y la oferta de consultas del HCUCH en 2022: (λGES+λnoGES- μSSMN) / μHCUCH.

Las especialidades se codificaron bajo la Norma 820 del Departamento de Estadística e Información de Salud que distingue especialidades para adultos y pediátricas(12). Las especialidades que no especifican, si son de adulto o pediátricas, consideran ambas. El procesamiento y análisis de datos fue realizado con la librería Pandas de Python(13). Los datos y scripts se encuentran disponibles en https://github.com/ rlagosb/brechas_consultas_SSMN_2023.
Se cumplieron las normas éticas exigidas internacionalmente para la investigación en seres humanos. El protocolo de investigación fue aprobado por el Comité Ético Científico del Hospital Clínico Universidad de Chile (certificado N°34 del 31 de mayo de 2023).
RESULTADOS
En 2023 se generaron en el SSMN 4.737 solicitudes de interconsulta para las especialidades médicas de CP y GE. De éstas, 2.641 (56%) fueron desde el nivel primario y 689 (15%), por patologías oncológicas GES. Las comunas con más derivaciones desde el nivel primario fueron Quilicura y Conchalí (565 y 508 interconsultas) y el principal centro de destino fue el Hospital San José (HSJ) como se muestra en las Figuras 2 y 3. Estas solicitudes se sumaron a la lista de espera arrastrada de 2022: 5.476 en GE y 2.048 en CP; y las garantías oncológicas retrasadas: 12 de cáncer gástrico y 20 de cáncer colorrectal (ver Figura 4).


Figura 3. Destino de las solicitudes de interconsultas de Gastroenterología y Coloproctología
del Servicio de Salud Metropolitano Norte en 2023

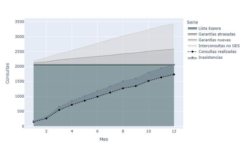
Figura 4: Demanda y oferta mensual acumulada de consultas nuevas de especialidades médicas gástricas
en el Servicio de Salud Metropolitano Norte en 2023
a) Gastroenterología: la producción del año no alcanzó para cubrir la lista de espera arrastrada desde 2022,
ni siquiera con los cupos perdidos por inasistencias o si se hubiera cumplido la programación.

b) Coloproctología: la producción del año habría alcanzado para cubrir la lista de espera arrastrada desde 2022
si no hubiera pérdida de cupos por inasistencias.
Para 2023 se programaron 21 especialistas equivalentes a 9,75 jornadas completas de 44 horas (Tabla 1). Sólo se programaron CNE en HSJ y HRR. En Gastroenterología HSJ un 73% del tiempo se destinó a atención ambulatoria y un 30% de las consultas se destinó a CNE, con un rendimiento de 2 consultas por hora. En Coloproctología HSJ se programó un 39% del tiempo para atención ambulatoria y 50% de las consultas para CNE con un rendimiento de 4 consultas por hora.

Se realizaron efectivamente 3.313 CNE y se estima que se perdieron 665 cupos por inasistencias. Sólo se realizaron 11 CNE por telemedicina en HRR. En suma, los cupos ofertados fueron 3.989: el 86% de lo programado (97% CP, 77% GE). La razón demanda/ oferta fue r=4,54 para GE y r=1,66 para CP, considerando todos los centros del SSMN (ver Tabla 2).

Oferta HCUCH
La oferta de cupos para consultas presenciales ofertados en el HCUCH en 2022, considerando consultas nuevas y controles, fue 15.150 en Gastroenterología. De modo que la brecha de consultas nuevas de Gastroenterología del SSMN representa 44,9% de los cupos de GE del HCUCH. Considerando la brecha conjunta de GE y CP, ésta representa el 53,9% de los cupos del HCUCH.
El Servicio de Gastroenterología del HCUCH cuenta con 16 especialistas contratados por 451 horas semanales (10,25 jornadas completas equivalentes) (ver Figura 5). Semanalmente se dedican 63 horas a consultas que se traducen en una capacidad proyectada para 2023 de 13.420 consultas (nuevas y controles). Además, se realiza docencia a becados de Gastroenterología que apoyan en labores asistenciales. De hecho, 43% de las consultas se realizan con participación de becados, quienes también participan en comités y actividades de investigación. El Servicio tiene programados semanalmente comités de Hepatocarcinoma, Radiología-Gastroenterología, Biopsias y Páncreas. Además realiza paracentesis ambulatorias, biopsias hepáticas percutánea-transyugulares y cápsulas endoscópicas, las cuales se programan según requerimiento, así como las teleconsultas sincrónicas y asincrónicas.

DISCUSIÓN
Se estimaron las brechas entre las solicitudes de interconsultas y la oferta de consultas nuevas en las especialidades de GE y CP del SSMN. En ambas especialidades y en todos los centros la demanda total enfrentada en 2023 sobrepasó la oferta. En CP la brecha al final de 2023 fue inferior a la lista de espera inicial (1.360 y 2.048, respectivamente), mientras que en GE la brecha final superó a la lista de espera inicial (6.803 y 5.476). Esta situación sostenida en el tiempo puede explicar el abultamiento excesivo de la lista de espera en GE, a diferencia de CP.
Estos hallazgos concuerdan con la tesis de Urquiza en HSJ en 2019 en la cual también encontró brechas en Gastroenterología y Cirugía Coloproctológica, entre otras especialidades(14). En ese estudio, la brecha en CP era evitable con mejoras en la gestión (aumento de rendimientos, horas para atención ambulatoria y % de CNE), mientras que en GE incluso con mejoras la brecha era de 477 CNE. Sin embargo, la demanda incluyó sólo una fracción de las SIC: el 50% de las recibidas en 2019, el 75% de las recibidas en 2018 y el 100% de las de 2017 o antes; mientras que en el presente estudio se consideró el 100% de las SIC.
En los tiempos destinados a atención ambulatoria, porcentaje de CNE y rendimientos de cupos por hora para consultas nuevas, las dos especialidades estuvieron dentro (o muy cerca) de los rangos sugeridos por Minsal: 60% para GE y 30% para CP, 33% del total de consultas destinadas a CNE y 2 a 3 cupos por hora, respectivamente(11,15). En CP el 97% de cumplimiento de la programación muestra poco margen para reducir la brecha con ganancia de eficiencia, aparte de la reducción de inasistencias. Mientras que el cumplimiento de GE de 77% muestra que existe un espacio importante para mejora de eficiencia. No obstante, incluso con un cumplimiento de 100% de la programación la brecha habría sido r = 8.727 / 2.484 = 3,51 y la oferta no habría alcanzado para cubrir las derivaciones del año, menos la lista de espera.
Llama la atención la casi nula oferta reportada de atenciones por telemedicina. En el Servicio de Salud Metropolitano Sur Oriente el uso masivo de teleconsultas asincrónicas ha permitido atender remotamente el 5% de las derivaciones para GE y 1% para CP(16). Destaca también que el INC prácticamente no destine horas a CNE, a pesar de contar con casi la mitad de las horas de GE contratadas del SSMN. Dado lo tardío del diagnóstico y la alta letalidad del cáncer gástrico, sería pertinente incrementar las horas de CNE para la pesquisa de cáncer gástrico en el contexto de una estrategia de tamizaje oportunista como la implementada por Calvo et al. en La Florida(17). De esta forma se podría reducir la lista de espera, incrementar el diagnóstico temprano y mejorar los desenlaces.
Por otra parte, la articulación con el HCUCH permitiría cerrar la brecha del SSMN en estas dos especialidades con menos del 55% de su capacidad de consultas. El Servicio de Gastroenterología del HCUCH cuenta con una dotación y capacidad importante para mejorar la oportunidad de la atención, no sólo por su volumen y complejidad, sino además por sus capacidades en docencia e investigación para la formación de especialistas.
A partir del levantamiento de información realizado se encontraron algunos desafíos con miras a la integración a la red pública. El Hospital actualmente no tiene relación con el nivel de Atención Primaria, por lo que deberá adoptar protocolos de referencia y contrarreferencia. Para ello, el Hospital cuenta con una oferta y capacidades en telemedicina que pueden constituir la base para mejorar la continuidad de la información y la coordinación entre niveles en el SSMN. De modo que la incorporación del HCUCH podría aumentar la resolutividad de la red pública no sólo aumentando la capacidad de consultas de especialidad, sino también potenciando estrategias de coordinación entre niveles, de integración de sistemas y de telemedicina en torno al proceso de referenciacontrarreferencia, en línea con otras experiencias nacionales e internacionales(18–20).
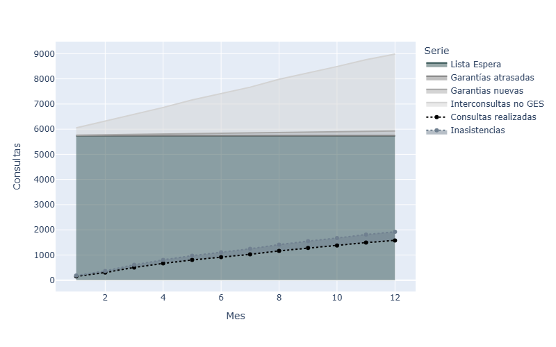
El estudio presenta una serie de limitaciones. En primer lugar, se centra en las brechas de CNE, que es un eslabón más en la atención de salud y no tiene una interpretación directa desde la perspectiva del usuario. Una forma de analizar el flujo de atención centrado en el paciente es mediante simulación computacional(21–24). Otra alternativa sería apilar la demanda acumulada por orden de prioridad en el diagrama de las brechas e identificar hasta qué grupo cubre la oferta de consultas (ver Figura 6). Urquiza utiliza una aproximación similar al segmentar la lista de espera por año de ingreso y definir metas de resolución al estimar la demanda, pero lo hace desde una perspectiva normativa, truncando la demanda y limitando el análisis de las brechas en toda su magnitud.

Figura 6: Demanda y oferta mensual acumulada de interconsultas nuevas de especialidades médicas gástricas
en el Servicio de Salud Metropolitano Norte en 2023
En la Figura 6, la demanda está apilada por orden de prioridad: garantías retrasadas, garantías nuevas, lista de espera no GES, interconsultas no GES nuevas, lo que permite visualizar qué grupos cubren los cupos de la especialidad. Adicionalmente, se podría segmentar y ordenar la lista de espera y solicitudes de interconsultas no GES por año de ingreso y/o prioridad clínica.
Por otra parte, en este estudio no se consideraron las garantías de erradicación de Helicobacter pylori, hepatitis C y hepatitis B, las cuales alcanzaron el 48% de las derivaciones GES a Gastroenterología en el SSMN en 2022(25). Suponiendo que las derivaciones GES fueran el doble, la brecha de GE en el SSMN sería de 6.993 consultas y r=4,65. Además, si bien se estimó la brecha, considerando tanto las patologías GES como las no GES, se asumió que cada garantía generaba una sola solicitud de interconsulta, cuando pueden generar interconsultas para varias especialidades. Además, debido al cambio del formato de los REM, se utilizaron estimaciones de inasistencias en base al porcentaje de inasistencias del establecimiento y especialidad entre 2019 y 2022. Se podría mejorar el análisis, utilizando los datos reales por establecimiento.
La estimación de la oferta también presenta limitaciones. El desglose de todas las actividades por cada profesional en planillas hace que el registro y consolidación de la información sea engorroso y consuma mucho tiempo, perjudicando la calidad de la información recolectada(26,27). Así y todo, la programación médica es la radiografía más detallada de la dotación y la oferta de prestaciones de un hospital. Para la integración del HCUCH a la red pública, permitiría proyectar y monitorear la demanda de atención de su población a cargo, programar con anticipación las consultas para atender las derivaciones y organizar las actividades docentes y asistenciales durante el proceso.
El presente estudio exploratorio identificó oportunidades para reducir las brechas, mediante una mejor articulación de la red del SSMN: incorporando el uso de telemedicina para mejorar la resolutividad en APS, redistribuyendo las horas de especialistas en la red y disminuyendo las inasistencias. El análisis se hizo con bases de datos oficiales disponibles en todos los servicios de salud. Se podría replicar para otras especialidades médicas y actualizar trimestralmente con los datos de reprogramación que lleva a cabo Minsal.
En conclusión, el HCUCH tiene una capacidad de consultas que podría cerrar la brecha en las especialidades gástricas del SSMN. Su sólida dotación, capacidad de atención compleja y destacado rol docente en servicios como Gastroenterología, lo posicionan como un actor con alto potencial para mejorar la oportunidad y calidad de la atención en la red pública.
AGRADECIMIENTOS
Al Dr. Eduardo Tobar, Sra. Consuelo Navarro, EU Viviana Mellado, Dr. Jaime Poniachik, EU Rosario Pino y Prof. Víctor Zapata por su apoyo y acompañamiento en la realización del estudio y a Juan Patricio Vargas y María Mercedes Sandoval de la Unidad de Gestión de la Atención Abierta del SSMN.
FINANCIAMIENTO
Estudios de doctorado de René Lagos financiados por la Agencia Nacional de Investigación y Desarrollo ANID-Subdirección de Capital Humano/Doctorado Nacional/2022-21220971. ANID no tuvo influencia en el diseño del estudio; en la recolección, análisis o interpretación de los datos; en la preparación, revisión o aprobación del manuscrito.
DECLARACIÓN DE CONFLICTOS DE INTERÉS
Los autores declaran no tener conflictos de interés. El protocolo de investigación fue aprobado por el Comité Ético Científico del Hospital Clínico Universidad de Chile.
REFERENCIAS
1. Ministerio de Salud. Glosa 05 Lista de Espera No GES y Garantías de Opoertunidad GES Retrasadas LEY DE PRESUPUESTO N°21.516 [Internet]. 2023 jul [citado 16 de febrero de 2024]. Disponible en: https://www. minsal.cl/wp-content/uploads/2021/05/ Glosa-05-Segundo-Trimestre-2023.pdf
2. Tello C, Fulgueiras M, Riveros S, Parra J, Jara Maleš P. Salud centrada en el paciente: Modelo de acompañamiento a personas que esperan por atención en el sistema público de salud en Chile [Internet]. Inter-American Development Bank; 2020 oct [citado 25 de noviembre de 2022]. Disponible en: https:// publications.iadb.org/es/node/29098
3. Martinez DA, Zhang H, Bastias M, Feijoo F, Hinson J, Martinez R et al. Prolonged wait time is associated with increased mortality for Chilean waiting list patients with nonprioritized conditions. BMC Public Health 2019;19:233.
4. Presidencia de la República. Fortalece el vínculo entre el Hospital Clínico de la Universidad de Chile Dr. José Joaquín Aguirre y el Sistema Nacional de Servicios de Salud [Internet]. 167–370 nov 4, 2022. Disponible en: http://www.senado.cl/appsenado/templates/ tramitacion/index.php?boletin_ini=15486-11
5. FONASA. Población Beneficiaria diciembre 2022 [Internet]. https://www.fonasa.cl/sites/ fonasa/datos-abiertos/estadisticas-anuales: Datos Abiertos Fonasa; 2022. Disponible en: https://www.fonasa.cl/sites/fonasa/adjuntos/ Beneficiarios2022
6. Besoaín Saldaña Á. Trayectorias y percepciones sobre continuidad asistencial de personas con ataque cerebro vascular en la red del Servicio de Salud Metropolitano Norte de Chile [Internet]. [Santiago, Chile]: Universidad de Chile; 2021. Disponible en: https:// repositorio.uchile.cl/handle/2250/181045
7. Subsecretaría de Redes Asistenciales M de S. Orientaciones para la planificación y programación en red 2023 [Internet]. 2022. Disponible en: https://www.minsal.cl/wp-content/ uploads/2021/09/ORIENTACIONES-PLANIFICACION- Y-PROGRAMAC-ENRED- 2023.pdf
8. Organización Panamericana de la Salud. Redes integradas de servicios de salud: conceptos, opciones de política y hoja de ruta para su implementación en las Américas [Internet]. OPS Washington, DC; 2010. (La renovación de la atención primaria de salud en las Américas). Disponible en: https://iris.paho.org/ handle/10665.2/31323
9. Estay R, Cuadrado C, Crispi F, González F, Alvarado F, Cabrera N. Desde el conflicto de listas de espera, hacia el fortalecimiento de los prestadores públicos de salud: Una propuesta para Chile. Cuad Méd Soc 2017;57:49–63.
10. Lagos R. Método para medir brechas de consultas médicas de especialidad en la programación de hospitales públicos. Rev Médica Chile [Internet] 2024;152(10). Disponible en: https://www.revistamedicadechile.cl/index. php/rmedica/article/view/10435
11. Subsecretaría de Redes Asistenciales M de S. ANEXO 5 Criterios Técnicos Programación de Atención Ambulatoria 2023 [Internet]. 2023. Disponible en: https://www.minsal.cl/wp-content/ uploads/2021/09/ANEXO-5-Criterios- Te%CC%81cnicos-Programacio%CC%81nde- Atencio%CC%81n-Ambulatoria-2023. docx
12. Departamento de Estadística e Información de Salud. Norma Técnica 820 Estándares de Información de Salud [Internet]. 2016 [citado 16 de diciembre de 2022]. Disponible en: https://repositoriodeis.minsal.cl/ ContenidoSitioWeb2020/EstandaresNormativa/ Decreto-Exento-643-Sustituye-Norma- T%C3%A9cnica-sobre-Est%C3%A1ndaresde- Informaci%C3%B3n-de-Salud-Actualizada- a-Dic-2016.pdf
13. McKinney W. Data Structures for Statistical Computing in Python. En: Walt S van der, Millman J, editores. Proceedings of the 9th Python in Science Conference. 2010. p. 56–61.
14. Urquiza Pérez MA. Descripción y análisis de la espera para consultas de especialidad y cierre de brechas en el hospital San José [Internet] [Tesis para optar al grado de Magíster en Salud Pública]. Universidad de Chile; 2021. Disponible en: https://repositorio.uchile.cl/ handle/2250/183612
15. Subsecretaría de Redes Asistenciales. Orientaciones Técnicas Compromisos de Gestión 2023 [Internet]. 2023 [citado 17 de marzo de 2023]. Disponible en: https://www.minsal. cl/wp-content/uploads/2023/03/Orientaciones- Te%CC%81cnicas-Compromisos-de- Gestio%CC%81n-An%CC%83o-2023.pdf
16. Equipo Telemedicina SSMSO. Estadísticas Canal Único de Derivación [Internet]. 2022 [citado 26 de junio de 2023]. Disponible en: https://telemedicina.ssmso.cl/#estadistica
17. Calvo BA, Díaz FA, Báez VS, Icaza NG, Nuñez-Franz L, Norero ME et al. Secondary prevention of gastric cancer. An alternative strategy. Jpn J Gastroenterol Res 2021;2:9.
18. Caffery LJ, Farjian M, Smith AC. Telehealth interventions for reducing waiting lists and waiting times for specialist outpatient services: A scoping review. J Telemed Telecare 2016;22:504–12.
19. Pfeil JN, Rados DV, Roman R, Katz N, Nunes LN, Vigo Á et al. A telemedicine strategy to reduce waiting lists and time to specialist care: A retrospective cohort study. J Telemed Telecare 2023;29:10–7.
20. Lagos R, Manzano D. Impacto de la digitalización en la continuidad del cuidado: El caso del proceso de referencia y contrarreferencia de la red pública de salud chilena. Rev Médica Chile 2025;153:857–70.
21. Vargas-Vargas B, Pérez-Murillo E, González- Domínguez J, García-Sanz-Calcedo J. Prediction of waiting lists for medical specialties in hospitals in Costa Rica using queuing theory and Monte Carlo simulation. Hospitals 2025;2:17.
22. Lagos R, Weber R, Ordóñez F, Lagos G, Jara F, Suárez F et al. Evaluación con microsimulación de políticas de gestión de listas de espera en un servicio de gastroenterología. En Temuco, Chile; 2023. Disponible en: https:// congreso2023.ufro.cl/images/presentaciones/eposter/ jueves/Pantalla6/09-525-EVALUACION- CON-MICROSIMULACION-DEPOLITICAS- DE-GESTION.pdf
23. Berg B, Denton B, Nelson H, Balasubramanian H, Rahman A, Bailey A et al. A discrete event simulation model to evaluate operational performance of a colonoscopy Suite. Med Decis Making 2010;30:380–7.
24. Berg BP, Murr M, Chermak D, Woodall J, Pignone M, Sandler RS, et al. Estimating the cost of no-shows and evaluating the effects of mitigation strategies. Med Decis Making 2013;33:976–85.
25. Lagos R. Diagnóstico de brechas de consultas de especialidad en la red del Servicio de Salud Metropolitano Norte e impacto de la incorporación del Hospital Clínico UCH. Presentación de Proyecto al Comité de Ética HCUCH. 2023.
26. Aguilar N. Rediseño del proceso de programación de horas médicas en el Servicio de Salud Metropolitano Sur Oriente [Internet] [Memoria para optar al título de Ingeniero Civil Industrial]. [Santiago, Chile]: Universidad de Chile; 2019. Disponible en: https:// repositorio.uchile.cl/handle/2250/173339
27. Lagos R, Aguilar N. Proceso de Programación en Red SSMSO [Internet]. Mestanza M, editor. Servicio de Salud Metropolitano Sur Oriente; 2022. Disponible en: https://saluddigital. ssmso.cl/wp-content/uploads/2022/11/Proceso-Programacio%CC%81n-SSMSOv2.0.pdf
Correspondencia:
René Lagos Barrios Ph.
Escuela Salud Pública, Fac. Medicina, U. de Chile
[email protected]
569 7646 0785